Draw a b-tree., Data Structure & Algorithms

Assignment Help:

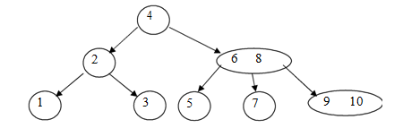
Q. Draw a B-tree of order 3 for the sequence of keys written below:

2, 4, 9, 8, 7, 6, 3, 1, 5, 10                                                                                

 

Ans:

The B-tree of order 3 for the following given data:-

2   4     9     8     7     6      3     1     5     10

1177_B tree.png


Related Discussions:- Draw a b-tree.

How to write binary search algorithm?, Q. Write down the binary search algo...

Q. Write down the binary search algorithm and trace to search element 91 in following given list: 13          30          62           73         81         88             91

Sorted list followed by a few "random" elements, You have to sort a list L ...

You have to sort a list L having of a sorted list followed by a few "random" elements. Which sorting methods would be especially suitable for this type of task?   Insertion sort

Analyze an algorithm, In order to analyze an algorithm is to find out the a...

In order to analyze an algorithm is to find out the amount of resources (like time & storage) that are utilized to execute. Mostly algorithms are designed to work along with inputs

What are the languages which support assertions, What are the languages whi...

What are the languages which support assertions Languages which support assertions often provide different levels of support. For instance, Java has an assert statement which t

A difference between linear and non linear, state difference between linear...

state difference between linear and non linear data structure. give one example scenario of each

Process of analysis, The objective analysis of an algorithm is to determine...

The objective analysis of an algorithm is to determine its efficiency. Efficiency is based on the resources which are used by the algorithm. For instance, CPU utilization (Ti

State the painter algorithm, Painter's Algorithm As the name suggests, ...

Painter's Algorithm As the name suggests, the algorithm follows the standard practice of a painter, who  would paint the background (such as a backdrop) first, then the major d

Insertion sort, Data array A has data series from 1,000,000 to 1 with step ...

Data array A has data series from 1,000,000 to 1 with step size 1, which is in perfect decreasing order. Data array B has data series from 1 to 1,000,000, which is in random order.

Difference between array and abstract data types, Difference between array ...

Difference between array and abstract data types Arrays aren't abstract data types since their arrangement in the physical memory of a computer is an essential feature of their

Explain graph traversal, Graph Traversal In many problems we wish to in...

Graph Traversal In many problems we wish to investigate all the vertices in a graph in some systematic order. In graph we often do not have any single vertex singled out as spe

Write Your Message!

Captcha
Free Assignment Quote

Assured A++ Grade

Get guaranteed satisfaction & time on delivery in every assignment order you paid with us! We ensure premium quality solution document along with free turntin report!

All rights reserved! Copyrights ©2019-2020 ExpertsMind IT Educational Pvt Ltd