Discover ratio of the torsional strengths, Mechanical Engineering

Assignment Help:

Discover ratio of the torsional strengths:

A hollow shaft of inner diameter is 1/2 × the outer diameter & a solid shaft of diameter is the external diameter of the hollow shaft. Discover ratio of the torsional strengths. Both the shafts are made with alike material.

Solution

Hollow Shaft

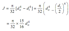
d i  = do /2

1609_Discover ratio of the torsional strengths.png

R = do /2

Solid Shaft

890_Discover ratio of the torsional strengths1.png

R = do / 2

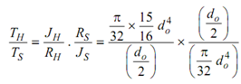
T =τ . (J/ R)

TH  =τ   JH/RH

TS  =τ   JS/RS

1763_Discover ratio of the torsional strengths2.png

=15/16


Related Discussions:- Discover ratio of the torsional strengths

Air conditioning systems., an air conditioning system is to take place in a...

an air conditioning system is to take place in an outdoor air at 10 degrees celcius and 30% 0f relative humidity at a steady rate of 45 m^3/min and to condition it to 25 degrees ce

What do you mean by alloys, Q. What do you mean by Alloys? Metallic mat...

Q. What do you mean by Alloys? Metallic materials that contain alloying elements, including chromium (Cr), cobalt (Co), Columbium or niobium (Cb or Nb), copper (Cu), iron (Fe),

Welding processes, Q. Show the Welding processes The following welding ...

Q. Show the Welding processes The following welding processes are permitted: Shielded Metal-Arc Welding (SMAW) - Do not use SMAW for the root pass of single side groove we

Belt and types of belt for transmission of power, Q.    What is belt? How m...

Q.    What is belt? How many types of belt are used for the transmission of power? Sol:   The power or rotary motion from one shaft to the other at a considerable distance is

What are objectives of the footings, What are objectives of the footings? ...

What are objectives of the footings? Objectives of the footings: After studying this unit, you should be able to: a. Know different types of footings and the situation wh

Determine the rate of heat removal - mechanics, Determine the rate of heat ...

Determine the rate of heat removal: Carbon dioxide passing through heat exchanger at rate of 100kg/hr is cooled down from  800 0 C to 50 0 C . Write down the steady flo

Define the application of abrasive jet cutting machines, Define the Applica...

Define the Application of Abrasive Jet Cutting Machines Cleaning purpose. Cutting fine lines. Machining semiconductors. Drilling and cutting thin section of har

Evaluate principal stress and maximum shear stress, At a point in a beam, t...

At a point in a beam, the bending stress is 50 MPa shear stress and tensile is 20 MPa. Calculate :- (i) The principal stress and maximum shear stress. (ii) The tensile stress

Stages in making a spot welding, Q.Show the procedure of spot welding ? ...

Q.Show the procedure of spot welding ? The steps involved in making a spot weld are listed below and shown but before spot welding one must make sure that (i) The job is clea

Analysis and design-power calculations-vehicle cost, The EV is to be used f...

The EV is to be used for city transportation, it should carry a maximum total load of 325 kg (passengers and cargo). The battery back used will be 365 kg, 44 kilowatt hours lithium

Write Your Message!

Captcha
Free Assignment Quote

Assured A++ Grade

Get guaranteed satisfaction & time on delivery in every assignment order you paid with us! We ensure premium quality solution document along with free turntin report!

All rights reserved! Copyrights ©2019-2020 ExpertsMind IT Educational Pvt Ltd