Diffrential integral , Mathematics

Assignment Help:

All the integrals below are understood in the sense of the Lebesgue.

(1) Prove the following equality which we used in class without proof. As-sume that f integrable over [3; 3]. Then

                            960_Diffrential Integral.png

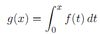
(2) Assume that f is integrable over [0; 1]. Show that

                                       1057_Diffrential Integral 1.png

is di erentiable a.e on (0; 1).


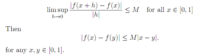
(3) Assume that f is continuous on [0; 1]. Suppose that

 

                      1516_Diffrential Integral 2.png


Related Discussions:- Diffrential integral

Calculate the amount of money a person has left after death, When Ms. Jones...

When Ms. Jones retired, she received a lump sum of $1,000,000 from her pension plan.  She then invested this sum in an annuity account that would pay her an equal amount at the end

Calculate time interval, From top of a tower a stone is thrown up and it re...

From top of a tower a stone is thrown up and it reaches the ground in time t1. A second stone is thrown down with the same speed and it reaches the ground in t2. A third stone is r

Calculate the mean, Calculate the mean, variance & standard deviation of th...

Calculate the mean, variance & standard deviation of the number of heads in a simultaneous toss of three coins.     SOLUTION:    Let X denotes the number of heads in a simu

Constant aceleration formulae, a car comes to a stop from a speed of 30m/s ...

a car comes to a stop from a speed of 30m/s in a distance of 804m. The driver brakes so as to produce a decelration of 1/2m per sec sqaured to begin withand then brakes harder to p

Method of disks or the method of rings, Method of disks or the method of ri...

Method of disks or the method of rings One of the simple methods for getting the cross-sectional area is to cut the object perpendicular to the axis of rotation.  Carrying out

Measures of central tendency-computation method, Computation method   ...

Computation method           Whereas L = Lower class boundary of the class having the mode             f 0 = Frequency of the class below the modal class

Partial Differential Equation, Consider the wave equation u_tt - u_xx = 0 w...

Consider the wave equation u_tt - u_xx = 0 with u(x, 0) = f(x) = 1 if -1 Please provide me a detailed answer. I had worked the most part of this question and the only I would like

Solution of triangles, In triangle ABC, if sinA/csinB+sinB/c+sinC/b=c/ab+b...

In triangle ABC, if sinA/csinB+sinB/c+sinC/b=c/ab+b/ac+a/bc then find the value of angle A.

Determine the properties and query are definable in datalog, We now focus o...

We now focus on the use of Datalog for defining properties and queries m graphs. (a) Suppose that P is some property of graphs definable in Datalog. Show drat P is preserved und

Write Your Message!

Captcha
Free Assignment Quote

Assured A++ Grade

Get guaranteed satisfaction & time on delivery in every assignment order you paid with us! We ensure premium quality solution document along with free turntin report!

All rights reserved! Copyrights ©2019-2020 ExpertsMind IT Educational Pvt Ltd