Conversion of general trees into the binary trees, Data Structure & Algorithms

Assignment Help:

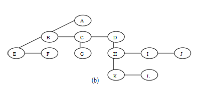
By taking an appropriate example explain how a general tree can be represented as a Binary Tree.                                                                   

Conversion of general trees into the binary trees:

A general tree can be changed into an equivalent binary tree. This conversion process or technique is called the natural correspondence between general and binary trees.

The algorithm is written below:

(a) Insert the edges connecting siblings from left to right at the same level.

(b Erase all edges of a parent to its children except to its left most offspring.

(c) Rotate the obtained tree 450 to mark clearly left and right subtrees.

A general tree shown in figure (a) converted into the binary tree shown in (b)

 

1508_BTS.png

1768_BTS1.png


Related Discussions:- Conversion of general trees into the binary trees

Example of single node with multiple elements, The class Element represents...

The class Element represents a single node that can be part of multiple elements on a hotplate and runs in its own thread. The constructor accepts the initial temperature and a hea

State the complex reallocation procedure, State the complex reallocation pr...

State the complex reallocation procedure Some languages provide arrays whose sizes are established at run-time and can change during execution. These dynamic arrays have an in

Determine the types of java, Determine the types of JAVA Java has two p...

Determine the types of JAVA Java has two parts... 1. Core language -- variables, arrays, objects o Java Virtual Machine (JVM) runs the core language o Core language is

The searching technique that takes o (1) time to find a data, The searching...

The searching technique that takes O (1) time to find a data is    Hashing is used to find a data

Algorithm for multiplication of two sparse matrices using li, algorithm for...

algorithm for multiplication of two sparse matrices using linked lists..

Algorithm for insertion into the circular queue, Algorithm for insertion of...

Algorithm for insertion of any element into the circular queue: Step-1: If "rear" of the queue is pointing at the last position then go to step-2 or else Step-3 Step-2: make

Binary tree and binarytree parts, Q. What do you understand by the term Bin...

Q. What do you understand by the term Binary Tree? What is the maximum number of nodes which are possible in a Binary Tree of depth d. Explain the terms given below with respect to

Hashing and collisions during hashing, Q. What do you understand by the te...

Q. What do you understand by the term Hashing?  How do the collisions occur during hashing?  Explain the different techniques or methods for resolving the collision.

State z-buffer algorithm, Z-Buffer Algorithm Also known as the Depth-Bu...

Z-Buffer Algorithm Also known as the Depth-Buffer algorithm, this image-space method simply selects for  display the polygon or portion of a polygon that is nearest to the view

Define about the class invariant, Define about the class invariant A cl...

Define about the class invariant A class invariant may not be true during execution of a public operation though it should be true between executions of public operations. For

Write Your Message!

Captcha
Free Assignment Quote

Assured A++ Grade

Get guaranteed satisfaction & time on delivery in every assignment order you paid with us! We ensure premium quality solution document along with free turntin report!

All rights reserved! Copyrights ©2019-2020 ExpertsMind IT Educational Pvt Ltd