Captures recapture sampling, Advanced Statistics

Assignment Help:

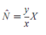
Captures recapture sampling: Another approach to a census for estimating the size of population, which operates by sampling the population number of times, identifying the individuals which appear more than once. It was first used by Laplace to estimate the population of France; this approach received its main impetus in to context of estimating the approximate size of the wildlife populations. An initial sample is attained and the individuals in that sample are marked or otherwise identi?ed. A next sample is, subsequently, independently attained, and it is noted how many individuals in that particular sample are marked. If the next sample is representative of the population as a whole, then the sample proportion of the marked individuals should be about the same as that of the corresponding population proportion. From this relationship total number of individuals in the population can be estimated. Particularly if X individuals are 'captured', marked, released and y individuals then the independently captured of which x are marked, then the estimator of the population size (often called as the Petersen estimator)is given as follows

1843_recapture sampling.png 
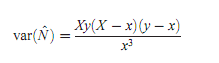
with variance given by
548_recapture sampling1.png 

The estimator does not have the ?nite expectation since x can take zero value. A modi?ed version, Chapman's estimator, adds one to the frequency of the animals caught in both the samples (x)with the follow-on population size estimator

344_recapture sampling2.png


Related Discussions:- Captures recapture sampling

General location model, The model for data containing continuous and catego...

The model for data containing continuous and categorical variables both.The categorical data are summarized by the contingency table and their marginal distribution, 182by the mult

Banach''s match-box problem, Banach's match-box problem : The person carrie...

Banach's match-box problem : The person carries two boxes of matches, one in his left and one in his right pocket. At first they comprise N number of matches each. When the person

Experimental design, i have an assignment for experimental design which is ...

i have an assignment for experimental design which is must done by SAS program can you help me also i need to hand in the assignment till thursday shall i send it for you ?

Geographical analysis machine, Geographical analysis machine is the proced...

Geographical analysis machine is the procedure designed to detect the clusters of rare diseases in a particular area. Circles of fixed radii are created at each point of the squar

Explain maternal mortality, Maternal mortality : The maternal death is the ...

Maternal mortality : The maternal death is the death of a woman while pregnant, delivering a baby or within 42 days of the termination of pregnancy, from any reason related to or a

Data fusion, The act of combining data from heterogeneous sources with the ...

The act of combining data from heterogeneous sources with the intent of extracting information that would not be available for any single source in isolation. An example is the com

Advanced managerial statistics, The objective of this assignment is to test...

The objective of this assignment is to test your understanding in the learning outcome (LO2) and learning outcome (LO3) and learning outcome (LO4). 1) This is a grouped assignme

Autocorrelation, This graph for Cross Correlation Function for RES1, RES1 s...

This graph for Cross Correlation Function for RES1, RES1 shows that there is possibly negative autocorrelation as there are alternating spikes; also the first spike is negative whi

Mortality odds ratio, Mortality odds ratio  is the ratio equivalent to the ...

Mortality odds ratio  is the ratio equivalent to the odds ratio used in case-control studies where the equivalent of the cases are deaths from the cause of interest and the equival

Logistic regression - computing log odds without probabiliti, Please help w...

Please help with following problem: : Let’s consider the logistic regression model, which we will refer to as Model 1, given by log(pi / [1-pi]) = 0.25 + 0.32*X1 + 0.70*X2 + 0.

Write Your Message!

Captcha
Free Assignment Quote

Assured A++ Grade

Get guaranteed satisfaction & time on delivery in every assignment order you paid with us! We ensure premium quality solution document along with free turntin report!

All rights reserved! Copyrights ©2019-2020 ExpertsMind IT Educational Pvt Ltd