Calculate the gain and phase response of fir digital filter, Electrical Engineering

Assignment Help:

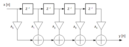
Calculate the gain and phase response of an FIR digital filter

Calculate the gain and phase response of an FIR digital filter as in below Figure with A0 = 1, A1 = 2, A2 = 3, A3 = -4, A4 = 5.

1484_Calculate the gain and phase response of FIR digital filter.png

Another way of calculating the frequency response of H(e j ?) is to use a mathematical computer language called "MATLAB". Simply log into MATLAB and type:

A = [1 2 3 -4 5];

freqz( A );

This produces graphs of the gain and phase responses corresponding to H(ej?) with a frequency scale normalised to half the sampling frequency; i.e. the scale is labelled 0 to 1 instead of 0 to π. In the next topic we will see how to calculate the coefficients (A0, A1, A2, etc.) of an FIR filter to achieve a particular type of gain and phase response.

1312_Calculate the gain and phase response of FIR digital filter 2.png

To calculate the gain and phase responses for the digital IIR filter as shown in above Figure would be difficult (though not impossible) by the method used above because the impulse response has an infinite number of non-zero terms.


Related Discussions:- Calculate the gain and phase response of fir digital filter

Astable multivibrator circuit, how does this circuit work and what are th e...

how does this circuit work and what are th electrical components in it do?

What are concentrators, Q. What are concentrators? Elucidate how it helps i...

Q. What are concentrators? Elucidate how it helps in connecting number of subscribers. Ans: In rural areas, subscribers are usually dispersed. It is both expensive and unn

Determine the motor current and speed, A dc series motor is connected to a ...

A dc series motor is connected to a load. The torque varies as the square of the speed.With the diverter-circuit open, the motor takes 20 A and runs at 500 r/min. Determine the mot

Introduction to problem based learning, The Problem Based Learning is an ap...

The Problem Based Learning is an approach to learning prepares the students to engage with challenges similar to real world problems.The VEB3001-Problem Based Learning has been an

Find the new gain for the inverting-amplifier circuit, Q. An op amp has a f...

Q. An op amp has a finite gain of only 50, but is otherwise ideal. For the inverting-amplifier circuit of Figure, if R 2 = 20 k, what value of R 1 would be needed to give a gain

What is effect of temperature on semiconductor conductivity, What is the ef...

What is the effect of temperature on conductivity of semiconductor? Electrical conductivity of semiconductor changes appreciably along with temperature changes. At absolute zer

Disaster management, role of electrical engineer in disaster management

role of electrical engineer in disaster management

What is a positive clipper and explain its working, Q. What is a positive c...

Q. What is a positive clipper? Explain its action with the help of a circuit. A positive clipper is the circuit which is used to cut off the positive half cycle. The circuit wi

DC Generators, The armature of a 6 pole, 600 r.p.m. lap wound generator has...

The armature of a 6 pole, 600 r.p.m. lap wound generator has 90 slots. if each coil has 4 turns, how do you calculate the number of conductors to calculate the flux per pole to gen

Differentiate between heat transfer and thermodynamics, Briefly Explain ...

Briefly Explain i. Importance of thermal diffusivity. ii. Describe the laws governing Heat Transfer. iii. Differentiate between Heat Transfer and Thermodynamics iv. Des

Write Your Message!

Captcha
Free Assignment Quote

Assured A++ Grade

Get guaranteed satisfaction & time on delivery in every assignment order you paid with us! We ensure premium quality solution document along with free turntin report!

All rights reserved! Copyrights ©2019-2020 ExpertsMind IT Educational Pvt Ltd