Calculate a table of responses to all boolean inputs, Computer Engineering

Assignment Help:

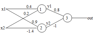
1.  The network shown in figure 2 uses neurons with:

            (a) Unipolar Binary;

            (b) Bipolar Binary.

1632_Calculate a Table of Responses to All Boolean Inputs.png

Calculate a table of responses to all four possible Boolean inputs.

 

 

 


Related Discussions:- Calculate a table of responses to all boolean inputs

Give the example of spreadsheet, Give the example of Spreadsheet By sel...

Give the example of Spreadsheet By selecting cell C1 and dragging the formula down to C5 the below formulae will be replicated in C2 to C5: (A2*B2), (A3*B3), (A4*B4) and (A5*B5

Typicality of virtual addresses, The typicality of virtual addresses is tha...

The typicality of virtual addresses is that: They are longer than physical addresses because total addressed memory in virtual memory is more than actual physical memory.

What are the advantages of using structure in c program, What are the advan...

What are the advantages of using structure in C Program Declaring a struct is a two-stage process. The first stage defines a new data type that has the required structure which

Give the difference between register and counter, Q. Give the difference be...

Q. Give the difference between Register and Counter. Q. Give the difference between Flip-flop and Latch. Q. Draw a set of waveforms for following signal on out-put line.

Can we call reports from interactive reporting lists, Can we call reports ...

Can we call reports and transactions from interactive reporting lists? Yes.  It also permits you to call transactions or other reports from lists.  These programs then use val

Memory system considerations - computer architecture, Synchronized with a c...

Synchronized with a clock signal Memory system considerations Speed Cost Size of chip Power dissipation Memory controller Refresh Overhead

Mathematical theorems, Proving ( or disproving) mathematical theorems are ...

Proving ( or disproving) mathematical theorems are an intensive intellectual task. This is because it requires deductions from hypotheses and also involves judgment. This judgm

PHB, Power pc h bus

Power pc h bus

Determine the benefits of mainframe computers, Determine the benefits of ma...

Determine the benefits of mainframe computers Government agencies, large businesses, and universities usually use this type of computer. So: This computer is common t

Produce an analysis model of the proposed system, Question: Read the fo...

Question: Read the following case study and answer the questions based on it. The local airline company needs to develop a system for controlling air traffic at the airport

Write Your Message!

Captcha
Free Assignment Quote

Assured A++ Grade

Get guaranteed satisfaction & time on delivery in every assignment order you paid with us! We ensure premium quality solution document along with free turntin report!

All rights reserved! Copyrights ©2019-2020 ExpertsMind IT Educational Pvt Ltd