Aromatic nitro compounds - electrophilic substitution, Chemistry

Assignment Help:

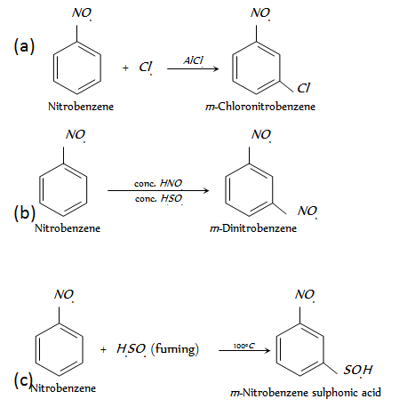
Chemical Properties of Aromatic Nitro Compounds - Electrophilic substitution

Because - NO2 group is deactivating and m-directing, electrophilic substitution (halogenation, nitration and sulphonation) in simple aromatic nitro compounds (for example nitrobenzene) is extremely difficult as compared to that in benzene. Therefore vigorous reaction conditions are utilized for such reaction and the new group enters the m-position.

29_Electrophilic substitution.png


Related Discussions:- Aromatic nitro compounds - electrophilic substitution

Determine the best method of preparing a stable emulsion, Q. Determine the ...

Q. Determine the best method of preparing a stable emulsion? To determine the best method of preparing a stable emulsion like mayonnaise. • learn the process of preparation

How will you convert ethanoic acid into methanamine?, CH 3 COOH ( ethanoic ...

CH 3 COOH ( ethanoic acid)  + NH 3 ------------ > CH 3 COONH 4   + (HEAT) ---------- > CH 3 CONH 2 (methyleamine) + H 2 O

Organic chemistry, Explain in words why hydroboration leads to anti-Markovn...

Explain in words why hydroboration leads to anti-Markovnikov addition of hydrogen whereas most electrophilic addtions to alkenes result in Markovnikov addition.

Energy of orbit, Energy of orbit: (1) Increases as we move away from nu...

Energy of orbit: (1) Increases as we move away from nucleus   (2) Decreases as we move away from nucleus  (3) Remains same as we move away from nucleus  (4)None of the

Energy of the electron in hydrogen atom is given, Energy of the electron in...

Energy of the electron in Hydrogen atom is given by: (1) E n = 131.38/ n 2 x kj mol -1         (2)  E n = 131.33/n xkj mol -1           (3) E n = 1313.3/ n 2 x kj mol

Project, Preparation of saturated calomel electrode and determination of st...

Preparation of saturated calomel electrode and determination of standard potentials of electrodes such as Cu 1 Cu, Zn 1 Zn, etc. Comparison of the potential values with values from

Hypothetical variation, Read the recent tribunal case  Taylor v Archicentre...

Read the recent tribunal case  Taylor v Archicentre Ltd   (General) [2012] NSWCTTT 348 (a)       Provide a summary account of the key material facts concerning the architectu

What are liquid crystals, What are liquid crystals? Give examples. Liq...

What are liquid crystals? Give examples. Liquid crystals are an intermediate state among liquid state and solid state. They exhibit some characteristic properties of both soli

Determine the calories, The Calorie, used to express food heat values, is s...

The Calorie, used to express food heat values, is similar as a kilocalorie of heat energy . If you eat a chocolate bar from the United States with 600 Calories of food energy, how

Attaking reagent, what is attacking reagent/what its type give detail about...

what is attacking reagent/what its type give detail about this

Write Your Message!

Captcha
Free Assignment Quote

Assured A++ Grade

Get guaranteed satisfaction & time on delivery in every assignment order you paid with us! We ensure premium quality solution document along with free turntin report!

All rights reserved! Copyrights ©2019-2020 ExpertsMind IT Educational Pvt Ltd