Analysis of merge sort, Computer Engineering

Assignment Help:

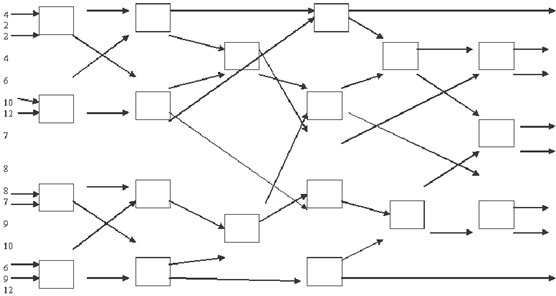
i) The width of the sorting + merging circuit is equivalent to maximum number of devices needed in a phase is O(n/2). As in the above diagram maximum number of devices for a given phase is 4 that is 8/2 or n/2. 

ii) The circuit comprises two sorting circuits for sorting sequences of length n/2 and afterwards one merging circuit for merging of two sorted sub sequences (see phase 4th  in above figure). Let functions Tm and Ts signify the time complexity of merging and sorting in terms of its depth.

The Ts can be calculated as follows:  

               Ts (n) =Ts (n/2) + Tm (n/2) 

               Ts (n) =Ts (n/2) + log (n/2), 

 Therefore, Ts (n) is equal to O (log2 n).

2264_Analysis of Merge Sort.png

Figure: Sorting + Merging Circuit


Related Discussions:- Analysis of merge sort

Define relocation bits utilized by relocating loader, Relocation bits used ...

Relocation bits used by relocating loader are specified by? Ans. Relocation bits utilized by relocating loader are identified by Assembler or Translator.

Global fon, GlobalFon is an international communication company, which offe...

GlobalFon is an international communication company, which offers international prepaid calling cards. They introduced three different types of cards, (1) AsiaFon: is cheapest for

What is the maximum number of fragments, What is the maximum number of frag...

What is the maximum number of fragments that can result from a single IP Datagram? Explain. To fragment a datagram for transmission across a network, a router utilizes the netw

Explain the parallel data storage - application of flip flop, Explain the P...

Explain the Parallel Data Storage - application of flip flops? In digital systems, data are usually stored in groups of bits that represent numbers, codes, or other information

Explain dial tone and ringing tone in strowger telephony, Explain Dial Tone...

Explain Dial Tone and Ringing Tone in strowger telephony. Dial Tone: it is used to indicate that the exchange is ready to recognize dialed digits by the subscriber. The subsc

Prior conditions - logic programs, Prior Conditions - Logic programs: ...

Prior Conditions - Logic programs: However firstly there we must make sure that our problem has a solution. Whether one of the negative examples can be proved to be true from

Determine about the logical shift, Logical shift A logical shift operat...

Logical shift A logical shift operation transfers 0 through serial input. We apply symbols shl and shr for logical shift left and shift right microoperations, examples:. R1

Name the software required to run video conferencing, Name The software req...

Name The software required to run video conferencing The software and hardware required to run video conferencing is very sophisticated. Apart from obvious items (that is large

Python, When investing money, an important concept to know is compound inte...

When investing money, an important concept to know is compound interest. The equation FV = PV (1+rate)periods . This relates the following four quantities. The present value (PV)

Show basic types of transmission technologies, Q. What are the basic types ...

Q. What are the basic types of Transmission technologies, basis on which computer networks will be categorized? Ans: Broadly there are two kinds of transmission technology:

Write Your Message!

Captcha
Free Assignment Quote

Assured A++ Grade

Get guaranteed satisfaction & time on delivery in every assignment order you paid with us! We ensure premium quality solution document along with free turntin report!

All rights reserved! Copyrights ©2019-2020 ExpertsMind IT Educational Pvt Ltd