Algorithm for inorder traversals, Data Structure & Algorithms

Assignment Help:

Step-1: For the current node, verify whether it contain a left child. If it has, then go to step-2 or else go to step-3

Step-2: Repeat step-1 for left child

Step-3: Visit (that means printing the node in our case) the current node

Step-4: For the current node verify whether it contain a right child. If it contain, then go to step-5

Step-5: Repeat step-1 for right child

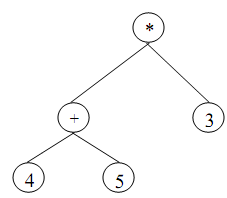
203_Algorithm for Inorder TRAVERSALS.png

Figure: A binary tree

The preoreder & postorder traversals are similar to that of a general binary tree. The general thing we have seen in all of these tree traversals is that the traversal mechanism is recursive inherently in nature.


Related Discussions:- Algorithm for inorder traversals

Determine the precondition of a binary search, Determine the precondition o...

Determine the precondition of a binary search For instance, precondition of a binary search is that array searched is sorted however checking this precondition is so expensive

Row major storage, Q. Take an array A[20, 10] of your own. Suppose 4 words ...

Q. Take an array A[20, 10] of your own. Suppose 4 words per memory cell and the base address of array A is 100. Find the address of A[11, 5] supposed row major storage.

Explain graph traversal, Graph Traversal In many problems we wish to in...

Graph Traversal In many problems we wish to investigate all the vertices in a graph in some systematic order. In graph we often do not have any single vertex singled out as spe

Write an algorithm to measure daily temperatures, A geography class decide ...

A geography class decide to measure daily temperatures and hours of sunshine each day over a 12 month period (365 days) Write an algorithm, using a flowchart that inputs tempera

Write an algorithm to find outputs number of cars, A company is carrying ou...

A company is carrying out a survey by observing traffic at a road junction. Every time a car, bus or lorry passed by road junction it was noted down. 10 000 vehicles were counted d

Sorting on several keys, Thus far, we have been considering sorting depend ...

Thus far, we have been considering sorting depend on single keys. However, in real life applications, we may desire to sort the data on several keys. The simplest instance is that

Difference between array and abstract data types, Difference between array ...

Difference between array and abstract data types Arrays aren't abstract data types since their arrangement in the physical memory of a computer is an essential feature of their

Simulation of queues, Simulation of queues: Simulation is the process of f...

Simulation of queues: Simulation is the process of forming an abstract model of a real world situation in order to understand the effect of modifications and the effect of introdu

Maximum degree of any vertex in a simple graph, The maximum degree of any v...

The maximum degree of any vertex in a simple graph with n vertices is (n-1) is the maximum degree of the vertex in a simple graph.

Advantage of list over arrays, The advantage of list over Arrays is flexibi...

The advantage of list over Arrays is flexibility. Over flood is not a problem until the computer memory is bushed. When the individual record are quite large, it may be difficult t

Write Your Message!

Captcha
Free Assignment Quote

Assured A++ Grade

Get guaranteed satisfaction & time on delivery in every assignment order you paid with us! We ensure premium quality solution document along with free turntin report!

All rights reserved! Copyrights ©2019-2020 ExpertsMind IT Educational Pvt Ltd