What is the frequency response function of the filter

Assignment Help Electrical Engineering
Reference no: EM131211634

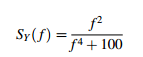
A power spectral density given by

674_55d21888-f60b-4c7e-975c-720ac22a2457.png

is desired. A white-noise source of two-sided power spectral density 1 W/Hz is available. What is the frequency response function of the filter to be placed at the noise source output to produce the desired power spectral density?

Reference no: EM131211634

Questions Cloud

Essay on conducting business in china and the united states : Write the essay on the given topic. - write a comparison-contrast essay. -The topic is "Conducting business in China and the United States".
Which sales price level would give the desired? results : Route Two Tire Company makes a special kind of racing tire. Variable costs are $200 per? unit, and fixed costs are $32,000 per month. Route Two sells 400 units per month at a sales price of $ 300. If? so, the variable cost will increase to $230 per? ..
Equilibruim condition for the individual firm demand : State the equilibruim condition for the individual firm's demand for labour in a perfectly competitive labour market.
What is the frequency response function of the filter : A white-noise source of two-sided power spectral density 1 W/Hz is available. What is the frequency response function of the filter to be placed at the noise source output to produce the desired power spectral density?
Total factor productivity for india is approximately : Suppose India has a per capita GDP that is .074 times the United States GDP. It has a capital-per-person ratio that is .035 times that of the United States. Compared to the United States, the implied value of total factor productivity for India is..
The impact of filling the pacific order on missions profits : Mission Electronics manufactures and sells basic DVD players for sale under various generic store brand names. The cost of one of their models follows: Materials $ 18.70 Labor 12.70 Variable overhead 5.70 Fixed overhead ($3,061,900 per year; 457,000 ..
Explore the three general areas of responsibility for a cfo : List and briefly describe the three general areas of responsibility for a chief financial officer (CFO) of a selected non-financial company which is listed on Australian Stock Exchange (ASX).
Determine the magnitudes of their transfer functions : Find the noise-equivalent bandwidths for the following first-and second-order lowpass filters in terms of their 3-dB bandwidths. Refer to Chapter 2 to determine the magnitudes of their transfer functions.

Reviews

Write a Review

Electrical Engineering Questions & Answers

  Lithium ion battery technology

The paper includes Lithium ion battery technology with its advantages and disadvantages. The paper discusses about the Lithium air battery in which detailed reactions of Lithium with air including nonaqueous as well as aqueous are given.

  Power transformers and tariffs

Construction of different types of power transformer, significant energy savings

  Paper on orthogonal frequency-division multiplexing

This document is shown a paper on Orthogonal frequency-division multiplexing with advantages, disadvantages and uses.

  Function of the hmi in a scada system

This assignment contains electronics engineering questions like State the commonly found components of a SCADA (Supervisory control and data acquisition) system. and decribe the function of the HMI in a SCADA system.

  Resultant waveform of the odd harmonic series

Prepare an Excel graph showing the individual components and summated resultant waveform of the odd harmonic series resulting in an approximate square wave.

  Explain scada system

Explain the function of the HMI in a SCADA system.

  Design a 2-digit 24 second shot-clock

Design a 2-digit 24 second "shot-clock" countdown timer with pushbutton controller.

  Model a discrete-time system

To understand di erent signal models To be able to model a discrete-time system and design simple signal processing algorithms.

  Draw a relay construction diagram

Draw a relay construction diagram and briefly explain the operation of a relay.

  Frequency division multiplexing

Write a short technical report on Frequency Division Multiplexing

  Impact of electron energy

Briefly discuss the impact of electron energy, electron current and target on the Bremsstrahlung generated.

  Traffic light controller

The schematic of the traffic light controller

Free Assignment Quote

Assured A++ Grade

Get guaranteed satisfaction & time on delivery in every assignment order you paid with us! We ensure premium quality solution document along with free turntin report!

All rights reserved! Copyrights ©2019-2020 ExpertsMind IT Educational Pvt Ltd