Show that f integrates to 1 and that it is a bimodal density

Assignment Help Humanities
Reference no: EM131326220

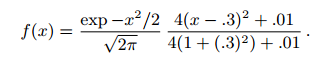
Consider the target density

1062_60d6a187-051e-4cc3-baa5-c670df41c27e.png

a. Show that f integrates to 1 and that it is a bimodal density.

b. Implement a normal random walk Metropolis-Hastings algorithm with a small variance like .04, and use plot.mcmc, cumuplot, and heidel.diag to assess the convergence when starting from x = - 2 and x = 2.

c. Compare those assessments with an on-line evaluation of the integral R f(x) d x based on the MCMC sample thus produced.

Reference no: EM131326220

Questions Cloud

Single pasty farm in a large market : What price should they expect, being a single pasty farm in a large market? How many pasties in aggregate will be sold in the regional pasty market?
Function of every application of the computer system : Ensure that all hardware work together. Ensure that every function of every application of the computer system works and the system meets the functional requirements and the RFP specifications
Analyze the security features of linux : Analyze the security features of Linux, Macintosh, and Windows operating systems, and decide which you believe is the most susceptible to hackers based on hacking techniques and attack vectors. Justify your response
What is the standard error of the statistic between two mean : Exam: 250714RR- A random sample of males and females involved in rear-end accidents results in the following Minitab summary: What is the standard error of the statistic between the two means?
Show that f integrates to 1 and that it is a bimodal density : Compare those assessments with an on-line evaluation of the integral R f(x) d x based on the MCMC sample thus produced.
Discuss the difference between multicast and unicast routing : Discuss the difference between multicast and unicast routing. Choosing either one, describe where it can be used in your professional or personal life
Examine the x-ray of a patient diagnosed with pneumonia : Examine the laboratory blood test results and arterial blood gases provided in "Discussion Question Resource: Laboratory Blood Test Results." What laboratory values are considered abnormal? Explain each abnormality and discuss the probable causes ..
Planning an it infrastructure audit for compliance : Term Paper: Planning an IT Infrastructure Audit for Compliance. Identify the critical requirements of the audit for your chosen organization and explain why you consider them to be critical requirements
Find the parameters of the given ma process : Find the parameters of the following MA process using Innovations estimator. The MA process is of second order, with O1=0.5 and O2=0.2. Generate the data without noise, then find the parameters. Subsequently, add noise.

Reviews

Write a Review

Humanities Questions & Answers

  Plan to improve correctional facilities

Women imprisonment should be facilitate with certain correctional facilities. In this paper, we have discussed about the plan for improving correctional facilities for the women prisoner in America.

  Situation analysis of food security in new zealand

This paper aims to present, discuss and analyse factors that are causing low food security, the management, current and proposed solutions in New Zealand (NZ).

  Social services on human traffic

The research study is limited to the understanding of  how social service agencies could approach or respond to the needs of the victim/ survivor of sex trafficking.

  Social deviance: the issue of risky sexual behaviour

The issue of deviant behaviour has been discussed by various sociologists from a number of perspectives.

  Race and racism

This paper is a brief description of the study, discrimination pertains to the prejudice perception and treatment of a person or demographical issues belonging to a category.

  Depth of challenges people face

Your own knowledge about the Depth of Challenges People face

  Project plan written report

Sufficient information to enable the organisation's Board of Executives to understand the rationale for the program and the activities required to design, implement and evaluate the program including any additional data that would need to be colle..

  Evaluation structure logical and achievable.

Health care organisational processes management, service administration, service provision and delivery

  Write an essay on locke''s theory of meaning

Write an essay on Locke's theory of meaning

  Leadership reflections paper

Write a paper on Leadership Reflections Paper Summarizes and reflects upon leadership ideas gleaned from the four required readings

  What role has feminism played

what role has feminism played in our appreciation of their work today.

  What subject matter choices were available to women artists

Prior to the beginning of the twentieth century, what subject matter choices were available to women artists? What cultural and historical influences placed limitations on their choices?

Free Assignment Quote

Assured A++ Grade

Get guaranteed satisfaction & time on delivery in every assignment order you paid with us! We ensure premium quality solution document along with free turntin report!

All rights reserved! Copyrights ©2019-2020 ExpertsMind IT Educational Pvt Ltd