How many poles of the system are on the lhp

Assignment Help Mechanical Engineering
Reference no: EM131393343

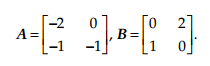
A system is given by the input-output differential equation.

2148_158ce1d1-acb7-4f28-b434-776bc22ad395.png

Where u = input, y = output.

a. Using Routh-Hurwitz criterion (and without solving the characteristic equation), determine how many poles of the system are on the LHP. Is the system stable?

b. For a unit step input, determine the steady-state value of the response, by using the differential equation and explaining your rationale. Next, verify your answer using FVT. Suppose that all the poles of the given system are moved to the right by 1 (and the system zeros are not changed).

c. Using Routh-Hurwitz criterion (and without actually solving the characteristic equation) determine the stability of the new system (with moved poles).

Reference no: EM131393343

Questions Cloud

Demonstrate your research skills to your instructor : Short Paper Assignment allows you to demonstrate your research skills to your instructor and to receive feedback that will benefit you when you write research papers for future courses.
Strategic training and development report : A description of the organization and its major products and/or services (a brief description -- no more than two or three paragraphs). Try to find information about the organization's mission and/or goals and how its training function is organiz..
Analyze the three internal governance mechanisms : Analyze the three internal governance mechanisms and recommend a possible fourth mechanism that would help align the interests of managerial agents with those of the firm's owners.
Determine two possible corporate governance challenges : Determine two possible corporate governance challenges that might be faced by Best Buy as a result of its rapid growth and why they could become corporate governance issues.
How many poles of the system are on the lhp : Using Routh-Hurwitz criterion (and without solving the characteristic equation), determine how many poles of the system are on the LHP. Is the system stable?
Propose one business-level strategy : For the corporation that does not operate internationally, propose one business-level strategy and one corporate-level strategy that you would suggest the corporation consider.
Estimate the angular position error of the radar : Consider the problem of tracking an aircraft using a radar device that has a velocity error constant of 10 s-1. If the airplane flies at a speed of 2,000 km/hr at an altitude of 10 km, estimate the angular position error of the radar antenna that t..
Discuss at least three recommendations that you would make : Discuss at least three recommendations that you would make to remedy this situation so that food, medical, and financial assistance actually reaches the poor.
Explain the meaning of big stick foreign policy : Roosevelt's "Big Stick" Foreign Policy - Explain the meaning of "big stick" foreign policy.Identify the key factors that led to the U.S. declaration of war on Germany in April 1917. Please read attached pdf "No Mans Land" and provide your thoughts.Pl..

Reviews

Write a Review

Mechanical Engineering Questions & Answers

  Package design

Package Design Brief: Assume you are the packaging engineer for a large consumer products company. In this company, the Packaging Design Briefs are initiated by the marketing group and forwarded to the Package Engineering group.

  Mechanical engineering questions

Define dynamic viscosity, Determine the centroid, Pressure due to the height of liquid, Advantage of changing the liquid, Calculate the total moment about the hinge of the seal gate.

  Automatic control

DOF system and Find the differential equation describing the system

  Write a paper on boyle''s law

Write a paper on Boyle's law and describe Compression and Combustion stroke . Also explain Charles's law and illustrate SI engine and CI engine.

  Verify the law for parallelogram of forces

To Verify the law for parallelogram of forces, law for triangle of forces and law of polygon of forces. These laws are very useful to calculate unknown forces in very short time.

  Discharge pressure of the compressor

What is the discharge revised discharge pressure of the compressor.

  The Case for Global Accounting Standards

The role of IFRS in both developing and developed capital markets.

  Wind turbine

Wind turbines are becoming more and more common as a method of energy production, wind turbines by their very nature are dynamic and are subject to and create their own internal and external kinematics and kinetics.

  Advanced design methodologies

8 x product engineering and design review (week 2 – 12), ~3 pages per item which must contain a brief description of the product then delve into concepts such as materials selection, manufacturing methods, life cycle analysis, recyclability and overa..

  Design of absorption column and the cooler

Design of absorption column and the cooler. Process design of other units should be completed along with pipe sizes.

  Determine the maximum total bending moment

Determine maximum total bending moment (static plus dynamic) of the beam under steady-state conditions.

  Force of the water on the gate

Determine the magnitude of the horizontal and vertical components of the force of the water on the gate.

Free Assignment Quote

Assured A++ Grade

Get guaranteed satisfaction & time on delivery in every assignment order you paid with us! We ensure premium quality solution document along with free turntin report!

All rights reserved! Copyrights ©2019-2020 ExpertsMind IT Educational Pvt Ltd