Find the potential and electric field intensity

Assignment Help Electrical Engineering
Reference no: EM131184324

What is the electric field intensity and the electric potential outside the plates in Example 5.1? Hint: You must use Gauss ; law.

Example 5.1

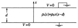
The plates of a capacitor are separated a distance d and grounded as in Figure 5.1. The dielectric between the plates has permittivity ε and a volume charge density p­v(x) = P0x(x - d) [C/m3] is distributed throughout the volume of the dielectric. Find the potential and electric field intensity everywhere between the plates of the capacitor.

883_c4def730-de47-45f4-a3e1-999fabf40eeb.png

Reference no: EM131184324

Questions Cloud

Define organizational strategy : Define organizational strategy.- Explain the relationship between a business's organizational strategy and its projects.
Calculate the total number of addresses in block : ABEC Pty Ltd (a public company) has been granted a block of addresses starting with the address 172.154.60.0/24 - Calculate the total number of addresses in this block. Show your calculation
Termination and resumption models of continuation : Describe three approaches to exception handling in languages that do not provide direct support for it - Summarize the arguments in favor of the termination and resumption models of continuation.
What assumptions about the external marketing environment : What assumptions about the external marketing environment under pin the airport's marketing strategy (regulation, the economy, resource availability, technology, competition, and the market)?
Find the potential and electric field intensity : Find the potential and electric field intensity everywhere between the plates of the capacitor.
How does the concept of tradeoff relate to opportunity costs : How does the concept of "tradeoff" relate to "opportunity costs?" What is the difference between monetary and non-monetary opportunity costs? Why are opportunity costs based on a person's tastes and preferences?
Would zaras model work for other retailers : would zara's model work for other retailers? why or why not? - How is zara going to expand successfully all over the world with the same level of speed and instant fashion?
Do you have an valid employment contract with jake : Do you have an valid employment contract with Jake? - Do you have a valid contract with Angelina Jolie, and does she have to pay you?
Compute opportunity cost in business decision-making process : Evaluate opportunity costs in the business decision-making process. Analyze whether each of the following is primarily a microeconomic or a macroeconomic issue Setting the price for a cup of coffee.

Reviews

Write a Review

Electrical Engineering Questions & Answers

  Lithium ion battery technology

The paper includes Lithium ion battery technology with its advantages and disadvantages. The paper discusses about the Lithium air battery in which detailed reactions of Lithium with air including nonaqueous as well as aqueous are given.

  Power transformers and tariffs

Construction of different types of power transformer, significant energy savings

  Paper on orthogonal frequency-division multiplexing

This document is shown a paper on Orthogonal frequency-division multiplexing with advantages, disadvantages and uses.

  Function of the hmi in a scada system

This assignment contains electronics engineering questions like State the commonly found components of a SCADA (Supervisory control and data acquisition) system. and decribe the function of the HMI in a SCADA system.

  Resultant waveform of the odd harmonic series

Prepare an Excel graph showing the individual components and summated resultant waveform of the odd harmonic series resulting in an approximate square wave.

  Explain scada system

Explain the function of the HMI in a SCADA system.

  Design a 2-digit 24 second shot-clock

Design a 2-digit 24 second "shot-clock" countdown timer with pushbutton controller.

  Model a discrete-time system

To understand di erent signal models To be able to model a discrete-time system and design simple signal processing algorithms.

  Draw a relay construction diagram

Draw a relay construction diagram and briefly explain the operation of a relay.

  Frequency division multiplexing

Write a short technical report on Frequency Division Multiplexing

  Impact of electron energy

Briefly discuss the impact of electron energy, electron current and target on the Bremsstrahlung generated.

  Traffic light controller

The schematic of the traffic light controller

Free Assignment Quote

Assured A++ Grade

Get guaranteed satisfaction & time on delivery in every assignment order you paid with us! We ensure premium quality solution document along with free turntin report!

All rights reserved! Copyrights ©2019-2020 ExpertsMind IT Educational Pvt Ltd