Find the deformation gradient in terms of gx2

Assignment Help Electrical Engineering
Reference no: EM131303715

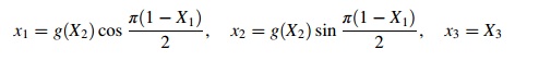
An initially straight beam AB is bent into a circular arc A'B' as shown in the figure. The deformation is specified as

353_Equation 4.jpg

Where g(X2) is a simple function of X2.

(a) Find the deformation gradient in terms of g(X2).

(b) If the volume of the beam does not change, find g(X2).

(c) Using g(X2) in (b), find U, Q, and V.

288_Figure 01.jpg

Reference no: EM131303715

Questions Cloud

Compare the engineering strain and lagrangian strain : Compare the engineering strain and Lagrangian strain. Show that the two strain measures become identical as "α" approaches zero.
List the three groups of archaebacteria : List the three groups of archaebacteria. How are they different from bacteria? Which would most likely be found in a hot liquid with a pH of 3? Why?
Excess of the number of free transactions : Pelican Point Financial Group’s clientele consists of two types of investors. The first type of investor makes many transactions in a given year and has a net worth of over $1.5 million. These investors seek unlimited access to investment consultants..
Show that when the deformation is small : In the small deformation theory, the volumetric strain (dVx - dV0)/dV0 is approximated by ε11 + ε22 + ε33,- Show that when the deformation is small, the latter can be approximated by the former.
Find the deformation gradient in terms of gx2 : Find the deformation gradient in terms of g(X2).- If the volume of the beam does not change, find g(X2).- Using g(X2) in (b), find U, Q, and V.
Describe the elements used in the dating technique : There are many properties used to identify minerals. Choose a mineral and describe how it exhibits one of those properties. You cannot choose one from this week's lab, nor can you choose one that has already been described. You can choose a proper..
Calculate the complementary cumulative distribution function : Calculate the complementary cumulative distribution function (CDF) of the capacity in (2.13) for the iid Rayleigh fading model at SNR equal to γ = 20 dB in the following cases
Describe enclosure and compare it to chimp natural habitat : Describe enclosure and compare it to chimp natural habitat. Identify individual chimps as Adult Male-1; Adult Female-1; Juvenile Male-1; Juvenile Female-1, etc.
What is the value of flying vikings equity : You need to estimate the value of Flying Vikings Aviation. You have the following forecasts (in millions of dollars) of it profits, and of its future investments in new plant and working capital. Estimate the company's total value. What is the value ..

Reviews

Write a Review

Electrical Engineering Questions & Answers

  Lithium ion battery technology

The paper includes Lithium ion battery technology with its advantages and disadvantages. The paper discusses about the Lithium air battery in which detailed reactions of Lithium with air including nonaqueous as well as aqueous are given.

  Power transformers and tariffs

Construction of different types of power transformer, significant energy savings

  Paper on orthogonal frequency-division multiplexing

This document is shown a paper on Orthogonal frequency-division multiplexing with advantages, disadvantages and uses.

  Function of the hmi in a scada system

This assignment contains electronics engineering questions like State the commonly found components of a SCADA (Supervisory control and data acquisition) system. and decribe the function of the HMI in a SCADA system.

  Resultant waveform of the odd harmonic series

Prepare an Excel graph showing the individual components and summated resultant waveform of the odd harmonic series resulting in an approximate square wave.

  Explain scada system

Explain the function of the HMI in a SCADA system.

  Design a 2-digit 24 second shot-clock

Design a 2-digit 24 second "shot-clock" countdown timer with pushbutton controller.

  Model a discrete-time system

To understand di erent signal models To be able to model a discrete-time system and design simple signal processing algorithms.

  Draw a relay construction diagram

Draw a relay construction diagram and briefly explain the operation of a relay.

  Frequency division multiplexing

Write a short technical report on Frequency Division Multiplexing

  Impact of electron energy

Briefly discuss the impact of electron energy, electron current and target on the Bremsstrahlung generated.

  Traffic light controller

The schematic of the traffic light controller

Free Assignment Quote

Assured A++ Grade

Get guaranteed satisfaction & time on delivery in every assignment order you paid with us! We ensure premium quality solution document along with free turntin report!

All rights reserved! Copyrights ©2019-2020 ExpertsMind IT Educational Pvt Ltd