Explain the need to introduce the lagrange multiplier

Assignment Help Mechanical Engineering
Reference no: EM131172493

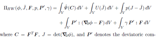
A six-field Hu-Washizu type of variational principle with independent volumetric and deviatoric variables is given as,

267_0aefcc8e-28dc-4e90-bd7a-2d0c0ce7bcd3.png

Component of the first Piola-Kirchhoff stress tensor .Find the stationary conditions with respect to each variable. Explain the need to introduce the Lagrange multiplier °. Derive the formulation that results from assuming that all the fields except for the motion are constant over the integration volume.

Reference no: EM131172493

Questions Cloud

Investigate scenario planning further : For this assignment, you will investigate scenario planning further and prepare a minimum of 600 words on scenario planning in public policy analysis.
Summarize a specific legal case involving a cyber law issue : Description and explanation of the type of business entity that is best for your business (200 words) ?Your business should be a partnership, corporation, or another type (For this assignment, you should not choose a sole proprietorship for your ..
Different competitive strategies : Select an industry in which the participants compete against each other through different competitive strategies. Pick three companies within that industry, and using one of the three conceptual approaches noted above, determine which strategy ea..
Discuss south africas apartheid policy : Discuss South Africa's apartheid policy of 1948. How was it initiated? Provide historical information of the time from the passing of this policy until gaining independence in 1979.
Explain the need to introduce the lagrange multiplier : Component of the first Piola-Kirchhoff stress tensor .Find the stationary conditions with respect to each variable. Explain the need to introduce the Lagrange multiplier °. Derive the formulation that results from assuming that all the fields exce..
What is the australian face : Read the 'Australian face' section of Barracuda (pp28-29, from "I dash into the station . . . to . . . Oh, how I miss the Australian face"). In the context of the story, what is the 'Australian face'
Discuss china in terms of being the middle kingdom : Discuss China in terms of being the "Middle Kingdom," population growth issues, and industrialization. Sources must be cited in APA format. Your response should be a minimum of one single-spaced page to a maximum of two pages in length.
House path-goal leadership theory : What are the situational factors of the House Path-Goal Leadership Theory? Please indicate resources.
Calculate the total effect on output or aggregate demand : Consider an economy in which its residents spend 90% of each additional dollar they earn and the government increases its spending by $400. Calculate the total effect on output (or aggregate demand) The government reduces its spending by $4000 in an ..

Reviews

Write a Review

Mechanical Engineering Questions & Answers

  Package design

Package Design Brief: Assume you are the packaging engineer for a large consumer products company. In this company, the Packaging Design Briefs are initiated by the marketing group and forwarded to the Package Engineering group.

  Mechanical engineering questions

Define dynamic viscosity, Determine the centroid, Pressure due to the height of liquid, Advantage of changing the liquid, Calculate the total moment about the hinge of the seal gate.

  Automatic control

DOF system and Find the differential equation describing the system

  Write a paper on boyle''s law

Write a paper on Boyle's law and describe Compression and Combustion stroke . Also explain Charles's law and illustrate SI engine and CI engine.

  Verify the law for parallelogram of forces

To Verify the law for parallelogram of forces, law for triangle of forces and law of polygon of forces. These laws are very useful to calculate unknown forces in very short time.

  Discharge pressure of the compressor

What is the discharge revised discharge pressure of the compressor.

  The Case for Global Accounting Standards

The role of IFRS in both developing and developed capital markets.

  Wind turbine

Wind turbines are becoming more and more common as a method of energy production, wind turbines by their very nature are dynamic and are subject to and create their own internal and external kinematics and kinetics.

  Advanced design methodologies

8 x product engineering and design review (week 2 – 12), ~3 pages per item which must contain a brief description of the product then delve into concepts such as materials selection, manufacturing methods, life cycle analysis, recyclability and overa..

  Design of absorption column and the cooler

Design of absorption column and the cooler. Process design of other units should be completed along with pipe sizes.

  Determine the maximum total bending moment

Determine maximum total bending moment (static plus dynamic) of the beam under steady-state conditions.

  Force of the water on the gate

Determine the magnitude of the horizontal and vertical components of the force of the water on the gate.

Free Assignment Quote

Assured A++ Grade

Get guaranteed satisfaction & time on delivery in every assignment order you paid with us! We ensure premium quality solution document along with free turntin report!

All rights reserved! Copyrights ©2019-2020 ExpertsMind IT Educational Pvt Ltd