Reference no: EM131515141
Question: Euler equations for two-dimensional flow in polar coordinates
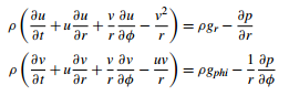
(a) For the two-dimensional flow described in Exercise, show that the Euler equations (inviscid momentum equations) take the form

(i) The momentum components perpendicular to and entering and leaving the side faces of the elemental control volume have small components in the radial direction that must be taken into account; likewise
(ii) the pressure forces acting on these faces have small radial components.
Exercise: Continuity equation for two-dimensional flow in polar coordinates
(a) Consider a two-dimensional flow field expressed in terms of the cylindrical coordinate system (r, ?, z), where all flow variables are independent of the azimuthal angle ?-for example, the flow over a circular cylinder. If the velocity components (u, v) correspond to the coordinate directions (r, ?), respectively, show that the continuity equation is given by

(b) Show that the continuity equation can be automatically satisfied by a stream function ψ of a form such that
