Determine the phase margin of the new amplifier

Assignment Help Electrical Engineering
Reference no: EM131226868

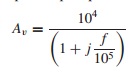
An open-loop amplifier can be described by

2133_Function 9.jpg

A dominant pole is to be inserted such that a closed-loop amplifier with a low-frequency gain of 50 has a phase margin of 45 degrees.

(a) Determine β and the required dominant pole frequency.

(b) The feedback transfer function is increased such that the closed-loop, low-frequency gain of the amplifier in part (a) is 20. Determine the phase margin of this new amplifier.

Reference no: EM131226868

Questions Cloud

What are its peak and average and values : what are its peak and average and values ? what do the peak and average diode current become whem vb reaches 14 v ?
Analyze the intended strategy of your firm as described : In section 2, you will analyze the intended strategy of your firm as described in annual report/website. How well has company executed this strategy?
Mortgage according to the loan agreement : You borrow $245,000 to buy a house. The mortgage rate is 4.5 percent and the loan period is 30 years. Payments are made monthly. If you pay the mortgage according to the loan agreement, how much total interest will you pay?
What is the future value : What is the future value of $1,200 a year for 46 years at 8 percent interest? Assume annual compounding.
Determine the phase margin of the new amplifier : An open-loop amplifier can be described.- Determine β and the required dominant pole frequency.-  Determine the phase margin of this new amplifier.
Estimate the closed-loop gain at low frequencies : A measurement of the closed-loop gain of an amplifier shows it to be -25 VN at 120 kHz and -100 VN at S kHz. Estimate the closed-loop gain at low frequencies and the corresponding 3 dB frequency. What is f, for the op amp used? (Bc careful!)
Project management office establishment : In your writing show an example of the three steps in documenting a soft return. Also, would a project management office establishment be of any assistance in monitoring the project?
Create a query on some unstructured data : 406706 - Physical Database Design - create a query on some unstructured data. Unstructured data can be thought of in this context as a table which is NOT clustered or hashed. In addition the table should NOTcontain any indexes at all. The query ca..
Advantages of globalization and standardization of culture : In Unit II, we learned about the concept of globalization of culture. What are the advantages and disadvantages of the globalization and standardization of culture? Provide at least one specific example of the advantage and at least one specific e..

Reviews

Write a Review

Electrical Engineering Questions & Answers

  Lithium ion battery technology

The paper includes Lithium ion battery technology with its advantages and disadvantages. The paper discusses about the Lithium air battery in which detailed reactions of Lithium with air including nonaqueous as well as aqueous are given.

  Power transformers and tariffs

Construction of different types of power transformer, significant energy savings

  Paper on orthogonal frequency-division multiplexing

This document is shown a paper on Orthogonal frequency-division multiplexing with advantages, disadvantages and uses.

  Function of the hmi in a scada system

This assignment contains electronics engineering questions like State the commonly found components of a SCADA (Supervisory control and data acquisition) system. and decribe the function of the HMI in a SCADA system.

  Resultant waveform of the odd harmonic series

Prepare an Excel graph showing the individual components and summated resultant waveform of the odd harmonic series resulting in an approximate square wave.

  Explain scada system

Explain the function of the HMI in a SCADA system.

  Design a 2-digit 24 second shot-clock

Design a 2-digit 24 second "shot-clock" countdown timer with pushbutton controller.

  Model a discrete-time system

To understand di erent signal models To be able to model a discrete-time system and design simple signal processing algorithms.

  Draw a relay construction diagram

Draw a relay construction diagram and briefly explain the operation of a relay.

  Frequency division multiplexing

Write a short technical report on Frequency Division Multiplexing

  Impact of electron energy

Briefly discuss the impact of electron energy, electron current and target on the Bremsstrahlung generated.

  Traffic light controller

The schematic of the traffic light controller

Free Assignment Quote

Assured A++ Grade

Get guaranteed satisfaction & time on delivery in every assignment order you paid with us! We ensure premium quality solution document along with free turntin report!

All rights reserved! Copyrights ©2019-2020 ExpertsMind IT Educational Pvt Ltd