Determine all eigenvalues and their algebraic multiplicities

Assignment Help Algebra
Reference no: EM132463208

Linear Algebra Problems -

Problem 1 - Determine if the following system is consistent:

x2 - 4x3 = 8

2x1 - 3x2 + 2x3 = 1

5x1 - 8x2 + 7x3 = 1

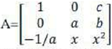
Problem 2 - Given any constants a, b, c where a ≠ 0, find all values of x such that the matrix A is invertible

1474_matrix.png

Problem 3 - Determine all eigenvalues and their algebraic multiplicities of the matrix

1172_matrix1.png

where a is a real number.

Problem 4 - Is (3, 4, -1) a solution of the following system?

5x1 - x2 + 2x3 = 9

-2x1 + 6x2 + 9x3 = 9

-7x1 + 5x2 - 3x3 = 1

Problem 5 - For what values of h and k is the following system consistent?

2x1 - x2 = h

-4x1 + 2x2 = k.

Reference no: EM132463208

Questions Cloud

Determine Use the BSE to record credit sales : Use the BSE to record credit sales and the allowance for doubtful accounts for C&S for 2016Use BSE to record the C&S write off of accounts receivables
Investigating data in sas visual analytics : Investigating Data in SAS Visual Analytics and Analytics Transforming Data Using SAS Data Studio - Discuss the Prepare phase of the Visual Analytics methodology
Determine dollar value of cash provide by operating activity : Use this information to determine the dollar value of cash provided or (used) by operating activities. If the total is a use of cash, enter as a negative number
Determine what is local government donates land : Determine A local government donates land with fair value of $50,000 to a firm as an inducement to locate manufacturing facilities in the area.
Determine all eigenvalues and their algebraic multiplicities : Determine all eigenvalues and their algebraic multiplicities of the matrix. For what values of h and k is the following system consistent
Determine to apply the economic attributes framework : Apply the economic attributes framework discussed in the chapter to the specialty retailing apparel industry, which includes such firms as Gap, Limited Brands
Determine the allocation of factory overhead to job order : Determine the allocation of factory overhead to Job Order, On March 31, 2018, Alpha Corporation recorded the following factory overhead costs incurred
Determine the amount of interest revenue : Determine the amount of interest revenue that should be reported in the first year is?The company's annual accounting period ends on December 31.
What is garys taxable income : The year 2018 is the first year in the last 10 years that Gray has not had at least $500,000 per year of net long-term capital gains.What is Gary's 2018 taxable

Reviews

Write a Review

Algebra Questions & Answers

  Solve the linear model

Select five values for x to plug into the linear function, P(x)=10x-7 and prepare a table of values

  Identify the sample and suggest a population

Identify the sample and suggest a population

  Evaluate the ratios

Evaluate the ratios and check are the ratios equivalent.

  Define variables and profit function

Define variables and profit function

  Make a linear equation

Assume you have a lemonade stand, & when you charge $1 per cup of lemonade you sell 50 cups. But when you raise your price to $2 you only sell 25 cups. Make an equation for the number of cups you sell as a function of the price you charge. Denote "C"..

  Classify linear and non linear functions

For each of the relationships given below, describe whether you think it is best explained by a linear function or a non-linear function.

  Which of the following are functions

Which of the following are functions?  The two problems, i.e., 1 & 3, are multi part relations consider all parts when determining whether or not these relations are functions. Explain your reason for 1, 2, & 3.

  Using venn diagram for solving word problems

Using venn diagram for solving word problems.

  Joint probability density function

The joint probability density function.

  Applications of combination

Applications of combination

  Solving problems using venn diagram

Solving problems using venn diagram.

  Solving problems into equation

Solving problems into equation.

Free Assignment Quote

Assured A++ Grade

Get guaranteed satisfaction & time on delivery in every assignment order you paid with us! We ensure premium quality solution document along with free turntin report!

All rights reserved! Copyrights ©2019-2020 ExpertsMind IT Educational Pvt Ltd