Derive the strain energy in rectangular coordinates

Assignment Help Mechanical Engineering
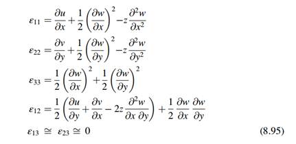
Reference no: EM131164950

Using the plane-stress formulation of the strain energy, and the nonlinear strain-displacement relations of von Ka´rma´n plate theory (Eqs. (8.95)) derive the strain energy in rectangular coordinates for the stretching and bending of the von Ka´rma´n theory. How does this expression simplify for the case where a deflection function w(x,y) is chosen such that, for a rectangular plate, w ¼ 0 along all the edges?

1521_6b19c739-c848-4635-835a-19a8c0314c1d.png

Reference no: EM131164950

Questions Cloud

What issues do you think concern the author : What issues do you think concern the author? Provide at least three quotations from the essay that illustrate the issues you listed in response to question number one.
Why do we stipulate a long plate : Compute the shear buckling coefficient for a long, simply-supported, rectangular plate.
Potential australian dollars overshoot : RBA Deputy Governor Philip Lowe said that in the current environment thr Austialian dollar might 'overshoot' and become too strong.As a result,interest rates wil remain flexible. Why would the RBA be concerned if the australian dollar was to 'oversho..
Analyze network security and encryption : Create a PowerPoint presentation that depicts a cluster system connected over a LAN (local area network) and a WAN (wide area network). Include in the presentation each layer of the OSI model and clearly depict the communication protocols and devic..
Derive the strain energy in rectangular coordinates : How does this expression simplify for the case where a deflection function w(x,y) is chosen such that, for a rectangular plate, w ¼ 0 along all the edges?
War is the collective pursuit of a dangerous activity : "War is the collective pursuit of a dangerous activity. But the collective pursuit occurs person by person. Why do individuals participate in war, whether voluntary or conscripted? In battle, what makes the fighting unit stay together as a collective..
Identify the ethical aspects in scenario : Identify the ethical aspects in scenario - On what possible reason/s an employee can be lawfully terminated?
Describe how you spent this past weekend : Describe how you spent this past weekend. - Pay attention to tense, sentence structure and subject verb agreement.
Distributed between two normal products work and leave : Assume that an individual has 80 hours per week that can be distributed between two normal products work and leave ( leisure ) . Draw a bid curve for an individual who can earn a maximum of £ 10,000 per week if the individual does not have any leave ..

Reviews

Write a Review

Mechanical Engineering Questions & Answers

  Package design

Package Design Brief: Assume you are the packaging engineer for a large consumer products company. In this company, the Packaging Design Briefs are initiated by the marketing group and forwarded to the Package Engineering group.

  Mechanical engineering questions

Define dynamic viscosity, Determine the centroid, Pressure due to the height of liquid, Advantage of changing the liquid, Calculate the total moment about the hinge of the seal gate.

  Automatic control

DOF system and Find the differential equation describing the system

  Write a paper on boyle''s law

Write a paper on Boyle's law and describe Compression and Combustion stroke . Also explain Charles's law and illustrate SI engine and CI engine.

  Verify the law for parallelogram of forces

To Verify the law for parallelogram of forces, law for triangle of forces and law of polygon of forces. These laws are very useful to calculate unknown forces in very short time.

  Discharge pressure of the compressor

What is the discharge revised discharge pressure of the compressor.

  The Case for Global Accounting Standards

The role of IFRS in both developing and developed capital markets.

  Wind turbine

Wind turbines are becoming more and more common as a method of energy production, wind turbines by their very nature are dynamic and are subject to and create their own internal and external kinematics and kinetics.

  Advanced design methodologies

8 x product engineering and design review (week 2 – 12), ~3 pages per item which must contain a brief description of the product then delve into concepts such as materials selection, manufacturing methods, life cycle analysis, recyclability and overa..

  Design of absorption column and the cooler

Design of absorption column and the cooler. Process design of other units should be completed along with pipe sizes.

  Determine the maximum total bending moment

Determine maximum total bending moment (static plus dynamic) of the beam under steady-state conditions.

  Force of the water on the gate

Determine the magnitude of the horizontal and vertical components of the force of the water on the gate.

Free Assignment Quote

Assured A++ Grade

Get guaranteed satisfaction & time on delivery in every assignment order you paid with us! We ensure premium quality solution document along with free turntin report!

All rights reserved! Copyrights ©2019-2020 ExpertsMind IT Educational Pvt Ltd