Derive the f-series of the periodic function

Assignment Help Electrical Engineering
Reference no: EM131360728

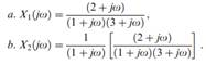
Find the inverse transforms of the following functions by using the partial fraction expansion. Use the results in Part a to find the partial fraction expansion in Part b:

415_29a53fc0-8ea6-4863-a0dd-89291a6e1b4d.png

984_09583328-0ac0-4e0a-ac4b-f58da3c0bc80.png

Reference no: EM131360728

Questions Cloud

Yield to maturity remains at its current rate : A 25-year, $1,000 par value bond has an 8.5% annual payment coupon. The bond currently sells for $900. If the yield to maturity remains at its current rate, what will the price be 5 years from now?
Examine the extent to which whistleblower would be protected : Examine the extent to which the whistleblower would be protected, or not protected, under the Sarbanes-Oxley Act. Justify your response either way and explain and identify SOX and its application.
Evaluate the effectiveness of the organizations hr policies : Imagine that you are the Director of the HR Department at your current organization or an organization with which you are familiar. You are responsible for delegating duties to your team for the selection, development, and management of both the n..
Us foreign corrupt practices act : Compose an e-mail to Joseph explaining the U.S. Foreign Corrupt Practices Act and its control objectives related to all transactions and accounts. Include any recent changes to the FCPA and provide examples of current cases involving the act.
Derive the f-series of the periodic function : Find the inverse transforms of the following functions by using the partial fraction expansion
Weighted average cost of capital wacc : The Delta Company has issued a total of 75,000,000 shares of common stock at par (it's value to the firm is 75,000,000. The dividend yield is 7 %. The company also has 25, 000,000 of bonds (also sold at par ) with a coupon rate of 6%. The tax rate..
Address the issue of symbolic images : In a well-constructed essay, address the issue of symbolic images (or archetypes) within American Literature from 1865-onward.
What is the npv of investment : What is the NPV of this investment? Is this investment a good opportunity?
Explain how the change was communicated : Explain how the change was communicated. Identify which leaders were involved in the communication. Identify the change model (if possible).

Reviews

Write a Review

Electrical Engineering Questions & Answers

  Lithium ion battery technology

The paper includes Lithium ion battery technology with its advantages and disadvantages. The paper discusses about the Lithium air battery in which detailed reactions of Lithium with air including nonaqueous as well as aqueous are given.

  Power transformers and tariffs

Construction of different types of power transformer, significant energy savings

  Paper on orthogonal frequency-division multiplexing

This document is shown a paper on Orthogonal frequency-division multiplexing with advantages, disadvantages and uses.

  Function of the hmi in a scada system

This assignment contains electronics engineering questions like State the commonly found components of a SCADA (Supervisory control and data acquisition) system. and decribe the function of the HMI in a SCADA system.

  Resultant waveform of the odd harmonic series

Prepare an Excel graph showing the individual components and summated resultant waveform of the odd harmonic series resulting in an approximate square wave.

  Explain scada system

Explain the function of the HMI in a SCADA system.

  Design a 2-digit 24 second shot-clock

Design a 2-digit 24 second "shot-clock" countdown timer with pushbutton controller.

  Model a discrete-time system

To understand di erent signal models To be able to model a discrete-time system and design simple signal processing algorithms.

  Draw a relay construction diagram

Draw a relay construction diagram and briefly explain the operation of a relay.

  Frequency division multiplexing

Write a short technical report on Frequency Division Multiplexing

  Impact of electron energy

Briefly discuss the impact of electron energy, electron current and target on the Bremsstrahlung generated.

  Traffic light controller

The schematic of the traffic light controller

Free Assignment Quote

Assured A++ Grade

Get guaranteed satisfaction & time on delivery in every assignment order you paid with us! We ensure premium quality solution document along with free turntin report!

All rights reserved! Copyrights ©2019-2020 ExpertsMind IT Educational Pvt Ltd