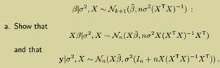
Compute the value of the marginal density of y

Assignment Help Humanities
Reference no: EM131357797

Starting from the prior distribution

2255_5f084b6f-c947-48f9-b7f6-aede621bd942.png

b. Show that integrating in σ2 with π(σ2)=1/σ2 yields the marginal distribution of y above.

c. Compute the value of the marginal density of y for the swiss dataset.

Reference no: EM131357797

Questions Cloud

Derive the corresponding accept-reject method : Consider the target as the G(α, β) distribution and the candidate as the gamma G([ α], b) distribution (where [a] denotes the integer part of a).
Endocrine system work closely with other systems : How does the endocrine system work closely with other systems? Research the feed back loop and how many systems are intertwind. Write a one page, general formatted paper and include an illustration of the feedback loop between at least two system..
Topic of unemployment in the us : Write a minimum of a five-page essay, using proper APA format, on the topic of unemployment in the U.S. Use a minimum of three scholarly sources. You have the freedom to take any aspect of unemployment that you desire to research.
Result of a change in either supply or demand : Discuss one (1) recent price change that you have noticed while visiting your local supermarket. Speculate on whether or not the price change that you identified was a result of a change in either supply or demand. Provide a rationale for your res..
Compute the value of the marginal density of y : Show that integrating in σ2 with π(σ2)=1/σ2 yields the marginal distribution of y above.
Comparison between the theories and recommend best theory : Identify at least two (2) financial theories that can help an organization improve its operational processes. Discuss how these financial theories allow an organization to better identify and utilize financial data for its decision-making. Provide ap..
Single measure of a society economic well-being : 1) U.S. real GDP is substantially higher today than it was 60 years ago. What does this tell us, and what does it not tell us, about the well-being of U.S. residents? What are the limitations of the GDP as a measure of economic well-being? Given t..
Did americans support overseas expansion in the late 19th : Did Americans support overseas expansion in the late 19th and early 20th centuries primarily because they believed the United States should spread its core values of freedom, individualism, democracy, and morality to "less-enlightened" peoples in ..
Minimum of three academic references : Write a five page essay, using a minimum of three academic references from the CSU online library and proper APA formatting on the following topic: pros and cons of tariffs. All sources used, including the textbook, must be referenced; paraphrased..

Reviews

Write a Review

Humanities Questions & Answers

  Plan to improve correctional facilities

Women imprisonment should be facilitate with certain correctional facilities. In this paper, we have discussed about the plan for improving correctional facilities for the women prisoner in America.

  Situation analysis of food security in new zealand

This paper aims to present, discuss and analyse factors that are causing low food security, the management, current and proposed solutions in New Zealand (NZ).

  Social services on human traffic

The research study is limited to the understanding of  how social service agencies could approach or respond to the needs of the victim/ survivor of sex trafficking.

  Social deviance: the issue of risky sexual behaviour

The issue of deviant behaviour has been discussed by various sociologists from a number of perspectives.

  Race and racism

This paper is a brief description of the study, discrimination pertains to the prejudice perception and treatment of a person or demographical issues belonging to a category.

  Depth of challenges people face

Your own knowledge about the Depth of Challenges People face

  Project plan written report

Sufficient information to enable the organisation's Board of Executives to understand the rationale for the program and the activities required to design, implement and evaluate the program including any additional data that would need to be colle..

  Evaluation structure logical and achievable.

Health care organisational processes management, service administration, service provision and delivery

  Write an essay on locke''s theory of meaning

Write an essay on Locke's theory of meaning

  Leadership reflections paper

Write a paper on Leadership Reflections Paper Summarizes and reflects upon leadership ideas gleaned from the four required readings

  What role has feminism played

what role has feminism played in our appreciation of their work today.

  What subject matter choices were available to women artists

Prior to the beginning of the twentieth century, what subject matter choices were available to women artists? What cultural and historical influences placed limitations on their choices?

Free Assignment Quote

Assured A++ Grade

Get guaranteed satisfaction & time on delivery in every assignment order you paid with us! We ensure premium quality solution document along with free turntin report!

All rights reserved! Copyrights ©2019-2020 ExpertsMind IT Educational Pvt Ltd