Voltage, Current Relationships for R, L and C Assignment Help

Assignment Help: >> Sinusoids >> Voltage, Current Relationships for R, L and C

Voltage, Current Relationships for R, L and C

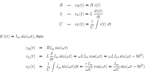
The AC voltage-current relationships for the inductor, resistor, and capacitor in the electric circuit can be given by
580_Voltage, Current Relationships for R, L and C.png 
It is clear that with AC excitation, all the voltages and currents retain the basic sine wave shape as shown in the Figure (a).
1387_Voltage, Current Relationships for R, L and C1.png 
Figure -Phase difference between voltages across R, L and C.

 

Email based Voltage, Current Relationships for R, L and C assignment help - Voltage, Current Relationships for R, L and C homework help at Expertsmind

Are you finding answers for Voltage, Current Relationships for R, L and C based questions? Ask Voltage, Current Relationships for R, L and C questions and get answers from qualified and experienced  Circuit Theory tutors anytime from anywhere 24x7. We at www.expertsmind.com offer Voltage, Current Relationships for R, L and C assignment help -Voltage, Current Relationships for R, L and C homework help and Circuit Theory  problem's solution with step by step procedure.

Why Expertsmind for Circuit Theory assignment help service

1.     higher degree holder and experienced tutors

2.     Punctuality and responsibility of work

3.     Quality solution with 100% plagiarism free answers

4.     On Time Delivery

5.     Privacy of information and details

6.     Excellence in solving Circuit Theory queries in excels and word format.

7.     Best tutoring assistance 24x7 hours

 

Free Assignment Quote

Assured A++ Grade

Get guaranteed satisfaction & time on delivery in every assignment order you paid with us! We ensure premium quality solution document along with free turntin report!

All rights reserved! Copyrights ©2019-2020 ExpertsMind IT Educational Pvt Ltd