Supernode
A supernode is their when the ideal voltage source appears between any 2 nodes of an electric circuit.
The usual method to solve this is to write KCL equations for both nodes and simply add them together into one equation ignoring voltage source in question. But, this would mean one less equation than the number of variables in the circuit. A contsraint equation is specified given by the magnitude of ideal voltage source present among the nodes and the respective node voltages. The following example will assist to clarify this scenario.
Example
Determine voltage across 1 A current source in circuit diagram of Figure by given below using nodal analysis.

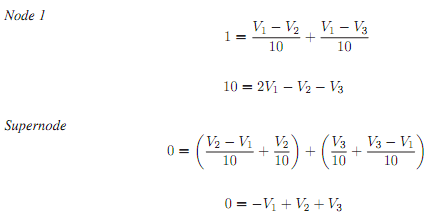
A simple inspection of circuit diagram reveals existence of 3 nodes excluding the reference and are labelled as V1,V2 and V3 as their respective node voltages. The presence of the ideal voltage source between nodes 2 and 3 creates a supernode and a constraint equation is necessary.
As there are 3 variables and 2 equations, thus another equation is required. This can be written as the constraint equation between nodes 2 and 3 as stated below
Constraint Equation
Equations can be solved simultaneously to determine node voltages V1,V2 and V3. Herein, the voltage, V1, across current source is needed. Thus by using Cramer's rule

Email based Supernode assignment help - Supernode homework help at Expertsmind
Are you finding answers for Supernode based questions? Ask Supernode questions and get answers from qualified and experienced Circuit Theory tutors anytime from anywhere 24x7. We at www.expertsmind.com offer Supernode assignment help -Supernode homework help and Circuit Theory problem's solution with step by step procedure.
Why Expertsmind for Circuit Theory assignment help service
1. higher degree holder and experienced tutors
2. Punctuality and responsibility of work
3. Quality solution with 100% plagiarism free answers
4. On Time Delivery
5. Privacy of information and details
6. Excellence in solving Circuit Theory queries in excels and word format.
7. Best tutoring assistance 24x7 hours