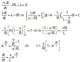
GROWTH OF CURRENT

When switch is on at t = 0. Then current flows from 0 to I. And self inductor opposes the grow of current
Ldl/dt = Potential energy difference across inductor = εe-Rt/L
I
At t = 0 => potential energy difference across inductor = e
At t → ∞ => potential energy difference across inductor = 0.
|
So inductor will function like plane wire.
Take a graph betn I and time.
|

|
Take a graph betn potential difference across
Inductor and time

Email based Physics assignment help - homework help at Expertsmind
Are you searching physics expert for help with R-L circuit questions? R-L circuit topic is not easier to learn without external help? We at www.expertsmind.com offer finest service of Physics assignment help and physics homework help. Live tutors are available for 24x7 hours helping students in their R-L circuit related problems. We provide step by step R-L circuit question's answers with 100% plagiarism free content. We prepare quality content and notes for R-L circuit topic under physics theory and study material. These are avail for subscribed users and they can get advantages anytime.
Why Expertsmind for assignment help
- Higher degree holder and experienced experts network
- Punctuality and responsibility of work
- Quality solution with 100% plagiarism free answers
- Time on Delivery
- Privacy of information and details
- Excellence in solving physics queries in excels and word format.
- Best tutoring assistance 24x7 hours