Physical properties of Acetone : (i) It is a colourless liquid with characteristic pleasant odour.
(ii) It is inflammable liquid. It boils at 56o C.
(iii) It is highly miscible with water, alcohol and ether.
Chemical properties of Acetone
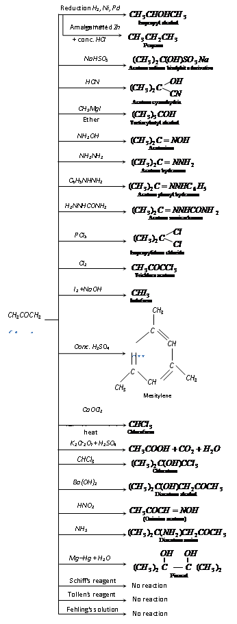
If acetone could be in excess in ketal condensation or catalyst (ZnCl2/ dry HCl) is used then three moles of acetone undergoes condensation polymerisation and form a compound called 'Phorone'.
Molecular mass of phorone = 3 mole of acetone - 2 mole of H2O
Reformatsky reaction: This reaction has the treatment of aldehyde and ketone with a bromo acid ester in presence of metallic zinc to form β-hydroxy ester, which can be easily dehydrated into α, β-unsaturated ester.
(a)
(b) Addition to carbonyl group

Email based Chemistry assignment help - homework help at Expertsmind
Are you searching chemistry expert for help with Physical and Chemical Properties of Acetone questions? Physical and Chemical Properties of Acetone topic is not easier to learn without external help? We at www.expertsmind.com offer finest service of Chemistry assignment help and chemistry homework help. Live tutors are available for 24x7 hours helping students in their Physical and Chemical Properties of Acetone related problems. We provide step by step Physical and Chemical Properties of Acetone question's answers with 100% plagiarism free content. We prepare quality content and notes for Physical and Chemical Properties of Acetone topic under chemistry theory and study material. These are avail for subscribed users and they can get advantages anytime.
Why Expertsmind for assignment help
- Higher degree holder and experienced experts network
- Punctuality and responsibility of work
- Quality solution with 100% plagiarism free answers
- Time on Delivery
- Privacy of information and details
- Excellence in solving chemistry queries in excels and word format.
- Best tutoring assistance 24x7 hours