Mesh Analysis
The mesh analysis technique consists of the steps stated below
1. Transform all the currents sources to voltage sources, if possible
2. Identify and assign the current to each mesh of network (preferably in same direction).
3. Write down the mesh equations by using KVL and simplify them.
4. Solve the system of equations.
5. Number of equations is equal to the number of meshes in network.
Solution: Mesh Analysis
3 meshes can be identified with currents I1,I2 and I3 as shown in Figure where all the currents are assumed to be flowing in the clockwise direction.
For mesh analysis, 3 loops are highlighted having currents I1,I2 and I3. Observe the common (shared) circuit elements between the meshes such as R2 (between meshes 1 and 2) and R3 (among meshes 2 and 3). The current through R2, for instance, will be I1 - I2 when considering mesh 1 whilst it will be I2 - I1 for mesh 2.
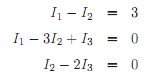
The KVL equations can be written as follows

Substitute given values of resistors and voltage source,
The solution of above equations can be obtained by substitution or by Cramer's rule or matrix method.

Email based Mesh Analysis assignment help - Mesh Analysis homework help at Expertsmind
Are you finding answers for Mesh Analysis based questions? Ask Mesh Analysis questions and get answers from qualified and experienced Circuit Theory tutors anytime from anywhere 24x7. We at www.expertsmind.com offer Mesh Analysis assignment help -Mesh Analysis homework help and Circuit Theory problem's solution with step by step procedure.
Why Expertsmind for Circuit Theory assignment help service
1. higher degree holder and experienced tutors
2. Punctuality and responsibility of work
3. Quality solution with 100% plagiarism free answers
4. On Time Delivery
5. Privacy of information and details
6. Excellence in solving Circuit Theory queries in excels and word format.
7. Best tutoring assistance 24x7 hours