Kirchoff's Voltage Law (KVL)
"The sum of all the voltages around a closed loop is equal to zero."
Or we can say that the algebraic sum of all voltage rises is equal to algebraic sum of all the voltage drops around the closed loop. In Figure, consider mesh BEDB, according to KVL
Example
In each circuit diagrams in Figure drawn below, write the mesh equations by using KVL
Circuit diagrams to demonstrate application of KVL in above example.
Figure (a) contains a single loop thus a single current, I is flowing around it. Hence a single equation will result as stated below
If Vs, R1 and R2 are known to us, then I can be found.
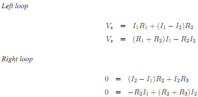
Figure (b) contains 2 meshes with currents I1 and I2 hence there will be 2 equations as shown below. Note that the branch containing R2 is common to both meshes with the currents I1 and I2 ?owing in the opposite directions.
Given Vs, R1, R2 , R3, Equations stated above can be solved simultaneously to evaluate I1 and I2.
For the circuit diagram of Figure (c), 3 equations are required to be written as follows. Also note that there is no circuit element shared among loops 2 and 3 thus I2 and I3 are independent of each other.
If Vs and resistors' values are known, the mesh currents can be evaluated by solving Equations obtained above at the same time.
Resistors in Series
Consider Figure given below with one voltage source and 2 resistors connected in series to form the single mesh with current I.

Figure--Series combination of 2 resistors.
According to KVL
Vs= V1+V2
By using Ohm's law V= IR from,
IReq =IR1+ IR2
Req= R1+ R2
here Req is the combined or equivalent resistance of series network. Thus the equivalent resistance of 2 or more resistors connected in series can be given by the algebraic sum of all resistances.
Generally, for n number of serial resistors, R can be given by

Email based Kirchoffs Voltage Law assignment help - Kirchoffs Voltage Law homework help at Expertsmind
Are you finding answers for Kirchoffs Voltage Law based questions? Ask Kirchoffs Voltage Law questions and get answers from qualified and experienced Circuit Theory tutors anytime from anywhere 24x7. We at www.expertsmind.com offer Kirchoffs Voltage Law assignment help -Kirchoffs Voltage Law homework help and Circuit Theory problem's solution with step by step procedure.
Why Expertsmind for Circuit Theory assignment help service
1. higher degree holder and experienced tutors
2. Punctuality and responsibility of work
3. Quality solution with 100% plagiarism free answers
4. On Time Delivery
5. Privacy of information and details
6. Excellence in solving Circuit Theory queries in excels and word format.
7. Best tutoring assistance 24x7 hours