Energy Assignment Help

Assignment Help: >> Circuit Elements and Sources >> Energy

Energy

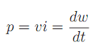
Energy can be defined as the capacity of a physical system to perform or do work. In the context of electric circuits, energy w is related to power by relationship stated below
1388_energy.png 

That is, power is rate of change of the energy.

By using Equation stated above, voltage can be written in terms of energy as work done or energy supplied per unit charge that is
689_energy1.png 

In terms of the 3 passive circuit elements, R, L and C, the energy relationships is derived as follows

Resistor
1842_energy2.png 
Electrical power or energy supplied to the resistor is completely dissipated as heat. This action is irreversible and is commonly termed as i2R losses.

Inductor
  2291_energy3.png 
Total energy supplied from to 0 to t is
185_energy4.png 

This energy is stored in magnetic field of inductor which can be supplied back to circuit when the actual source is removed.

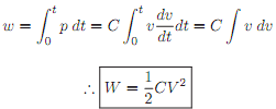
Capacitor
1025_energy5.png 
Total energy supplied from 0 to t is stated below
   2448_energy6.png 

This energy is stored in electric field of capacitor which is supplied back to circuit when the actual source is removed.

 

Email based Energy assignment help - Energy homework help at Expertsmind

Are you finding answers for Energy based questions? Ask Energy questions and get answers from qualified and experienced  Circuit Theory tutors anytime from anywhere 24x7. We at www.expertsmind.com offer Energy assignment help -Energy homework help and Circuit Theory  problem's solution with step by step procedure.

Why Expertsmind for Circuit Theory assignment help service

1.     higher degree holder and experienced tutors

2.     Punctuality and responsibility of work

3.     Quality solution with 100% plagiarism free answers

4.     On Time Delivery

5.     Privacy of information and details

6.     Excellence in solving Circuit Theory queries in excels and word format.

7.     Best tutoring assistance 24x7 hours

 

Free Assignment Quote

Assured A++ Grade

Get guaranteed satisfaction & time on delivery in every assignment order you paid with us! We ensure premium quality solution document along with free turntin report!

All rights reserved! Copyrights ©2019-2020 ExpertsMind IT Educational Pvt Ltd