Continuity of composite functions:
Suppose f(x) and g(x) are two functions, now we are interested in the continuity of f(g(x)).
Case I: If f and g each are continuous, then f(g(x)) may also be continuous.
Case II: If f is continuous and g is discontinuous. Here again two types arises.
(a) If points of discontinuity of g(x) are not relying in the area, the f(g(x)) may be definitely discontinuous at that points.
(b) If points of discontinuity relies in the area, then nothing may be said about the continuity of f(g(x)) in general.
Case III: If f and g each are discontinuous, the also nothing may be about the continuity of f(g(x)).
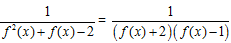
Example: Calculate the points of discontinuity of g(f(x)) if g(x) =
and f(x) = 1/x-1.
Solution: The function f(x) = 1/x-1. is discontinuous at the point x = 1.
The function g(f(x) =
is discontinuous at f(x) = -2 and f(x)=1.

Therefore, the composite function y = g(f(x)) is discontinuous at three points
x = 1/2, 1, 2.
Email based Continuity of composite functions Assignment Help -Continuity of composite functions Homework Help
We at www.expertsmind.com offer email based Continuity of composite functions assignment help - homework help and projects assistance from k-12 school level to university and college level and engineering and management studies. We provide finest service of Mathematics assignment help and Mathematic homework help. Our experts are helping students in their studies and they offer instantaneous tutoring assistance giving their best practiced knowledge and spreading their world class education services through e-Learning program.
Expertsmind's best education services
- Quality assignment-homework help assistance 24x7 hrs
- Best qualified tutor's network
- Time on delivery
- Quality assurance before delivery
- 100% originality and fresh work