Ellipse: If a point moves in a plane in such a way that ratio of its distances from a fixed point (focus) and a fixed straight line (directrix) is always less than 1, i.e., e < 1 is called an ellipse.
(1) Standard equation of an ellipse is

where b2 = a2 x (1 - e2)
Now there are two possibilities:
(a) When a> b

In this position,
(i) Major axis 2a and minor axis 2b
(ii) Foci, S'(- ae, 0) and S(ae, 0) and centre O (0, 0)
(iii) Vertices A'(- a, 0) and A (a, 0)
(iv) Equation of directrix ZM and Z'M'

(v) length of latus rectum is

(b) When a < b {i.e .. a2 = b2 (1 - e2)}

In this position,
(i) Major axis 2b and minor axis is 2a
(ii) Equation of directrix are y = ±
(iii) Foci, S(0, be) and S' (0, - be)
(iv) Length of latus rectum LL' = L1L1'=
(2) General equation of the ellipse whose directrix is x + my + n = 0, focus S(h, k) and any point P (x, y) on ellipse, is ( l2 + m2) {(x - h)2 + (y - k)2) = e2 ( x + my + n)2.
(3) A circle is drawn taking O (0, 0) as centre and major axis 2a as diameter, is called auxiliary circle of the ellipse.
(4) Equation of tangents of ellipse in term of m is
y = mx ±

and the line y = mx + c is a tangent to the ellipse, if

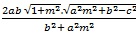
(5) The length of chord cuts off by the ellipse from the line y = mx + c is
(6) The equation of tangent at any point (x1, y1) on the ellipse

and at the point (a cos f b sin f) on the ellipse, the tangent is

(7) Parametric equations of the ellipse are x = a cos q and y =b sin q.
(8) The equation of normal at any point (x1, y1) on the ellipse is
also at the point (a cos Φ, b sin Φ) on the ellipse, the equation of normal is
ax sec Φ - by cosec Φ = a2 - b2.
(9) Focal distances of a point P (x1, y1) are a ± ex,
(10) Chord of contact at point (x1, y1) is

(11) Chord whose mid-point is (h, k) is
(12) The locus of point of intersection of two perpendicular tangents drawn on the ellipse is x2 + y2 = a2 + b2. This locus is a circle whose centre is the centre of the ellipse and radius is length of line joining the vertices of major and minor axis. This circle is called "director circle".
The eccentric angle of point P on the ellipse is made by the major axis with the line PO, where O is centre of the ellipse.
(i) The sum of the focal distances of any point on an ellipse is equal to the major axis of the ellipse.
(ii) The point (x1, y1) lies outside, on or inside the ellipse f(x, y) = 0 according as f(x1, y1) > = or < 0.
(13) The locus of mid-points of parallel chords of an ellipse is called its diameter and its equation is y =

which passes through centre of the ellipse.
The two diameter of an ellipse each of which bisect the parallel chords of others are called conjugate diameters. Therefore, the two diameters y = m1x and y = m2x will be conjugate diameter if m1m2 =
Equation ax2+ 2hxy + by2 + 2gx + 2fy + C = 0 represents an ellipse, if Δ ¹ 0 and h2 < ab.
Live Math Experts: Help with Ellipse Assignments - Homework
Expertsmind.com offers help with Ellipse assignment and homework in mathematics subject. Experts mind's math experts are highly qualified and experienced and they can solve your complex Ellipse math problems within quick time. We offer email based assignment help -homework help service in all math topics including Ellipse.
Math Online Tutoring: Ellipse
We at Expertsmind.com arrange instant online tutoring session in Ellipse math topic. We provide latest technology based whiteboard where you can take session just like live classrooms. Math experts at expertsmind.com make clear concepts and theory in Ellipse Math topic and provide you tricky approach to solve complex Ellipse problems.