Login
|
Create Account
Customer Service Chat
+91-977-207-8620
[email protected]
Submit Homework/Assignment
Get quote & make Payment
Get Solution
Quantitative Method Involves the Determination of Concentration
Chemistry Assignment Help
>>
General Chemistry
>> Determination of Concentration Assignment Help
Volumetric Stoichiometry
The reactions in solutions are by far the most common. The first step to determine is to express the amount of substance present in a given volume of a solution.
Solution -> solute + Solvent
Qualitative methods to express a solution are dilute, concentrated, saturated and super saturated.
Quantitative method involves the determination of concentration In different way as described below:
(i) Molarity: It is the number of moles of solute dissolved or present per litre of the solution. It is represented by the symbol M.
.
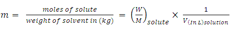
(ii) Molality: Number of moles of solute present or dissolve in 1000 g or 1 kg of solvent. It is represented by the symbol m.
(iii) Mole fraction: It is the relative ratio of moles of solute and solution or solvent and solution.
Note: Molarity is temperature dependent while mole fraction and molality is temperature independent.
(iv) Strength: The strength of a solution is defined as the amount of the solute in grams present per litre of the solution (i.e. g/L).
(v) Normality: The normality of a solution is defined as the number of gram equivalents of the solute present per litre of the solution, it is represented by N.
E = Equivalent weight
(vi) Formality: Formality is similar to Molarity, It is especially used for ionic crystals like Na
+
Cr
-
(viii) Specific gravity = (weight of solution)/(volume of solution)
Email Based Assignment Help – Homework Help
We at ExpertsMind offer email based assignment help, homework help and project help service in general chemistry. We provide online solutions for any grade level from high school to college level or university level. Why ExpertsMind? We commit only if our expert commits to deliver solutions by due date with detailed answers. Our motto is to spread quality of education across the world. From last few years we have excelled in assignment help filed due to our quality of service. We help students till the end when they are fully satisfied with work, without any additional charges. That why we have gained faith of students.
Struggling with chemistry homework – assignment? Get solutions from live online chemistry experts at
[email protected]
or submit your homework here the form given below. Our instant tutors analyze your work and revert back with price quote which will be economical in student's point of view.
Assignment Help
Accounting Assignment Help
Economics Assignment Help
Finance Assignment Help
Statistics Assignment Help
Physics Assignment Help
Chemistry Assignment Help
Math Assignment Help
Biology Assignment Help
English Assignment Help
Management Assignment Help
Engineering Assignment Help
Programming Assignment Help
Computer Science Assignment Help
IT Courses and Help
ExpertsMind Services
Online Tutoring
Projects Assistance
Exam Preparation
Coursework Help
Programming Courses
Engineering Courses
Why Us ?
~Experienced Tutors
~24x7 hrs Support
~Plagiarism Free
~Quality of Work
~Time on Delivery
~Privacy of Work